Network Science Institute | Northeastern University
NETS 7370 Computational Urban Science
2026-01-08
This week:
Sustainability and Inequality in urban areas from the perspective of Computational Urban Science
Distribution of emissions by car and street, from @bohm_gross_2022
Data -> Methods -> Models -> Applications.
Sustainability is one of the most pressing challenges in urban areas. In its broadest senses, sustainability is about the capacity of a city to maintain its functions, diversity, and resilience over time.
Sustainability is typically framed around the concept of the “triple bottom line” (TBL) which includes economic, social, and environmental dimensions.
UN Sustainable Development Goals (SDGs) are a set of 17 global goals designed to be a “blueprint to achieve a better and more sustainable future for all”.
Key Research Questions [1]:
Key Research Questions [1]:
Key Research Questions [1]:
Computational Urban Science is the key tool to address those problems by providing new ways to collect, analyze and understand complex urban dynamics:
Environmental justice analysis: mobility data, social media, credit card data can reveal patterns of environmental exposure, helping policymakers address those disproportionate impacts.
Access to resources and services: mobility data and public service usage can inform the strategic allocation of resources and ensure equitable access to transportation, healthcare, etc.
Understanding social behaviors and interactions: mobility data, social media can provide insights into community preferences, access to opportunity, exposure to other groups, etc.
Gross polluters and vehicle emissions reduction [2]
Traditional emission estimation methods use remote sensing stations, missing the full driving cycle of vehicles, or focus on a few vehicles. Use of massive GPS traces and a vehicle emissions model to understand who pollutes more.
From [2]
Gross polluters and vehicle emissions reduction [2]
They found that emissions across vehicles and roads is heavy-tailed distributed. Thus there are gross polluters that are responsible for the greatest quantity of emissions.
Distribution of emissions by car and street, from [2]
Gross polluters and vehicle emissions reduction [2]
More efficient emission reduction policies must target those polluters first.
Simulation of vehicle electrification, from [2]
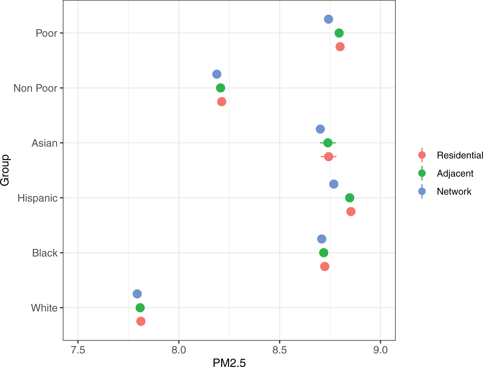
Environmental inequality in the neighborhood networks of urban mobility in US cities [3]
Use mobility data (Advan/Safegraph) to understand what is the difference/similarity between exposure to air pollution residents get in their neighborhoods or when they move around.
Number of trips from neighborhoods (in blue), from [3]
Environmental inequality in the neighborhood networks of urban mobility in US cities [3]
Minority and poor neighborhoods have more exposure to pollution in their neighborhoods. However, is that mitigated or exacerbated because individuals spend much of their time outside their residential neighborhood? No: the same.
PM2.5 exposure in residential neighborhoods, adjacent neighborhoods, and nonadjacent neighborhoods that residents visit (network)
Banks, alternative institutions and the spatial–temporal ecology of racial inequality in US cities [4]
How does living in minority neighbourhoods affect access to conventional banks versus alternative (predatory) financial institutions (AFIs) such as check cashers and payday lenders?. Use of Google Places API and routes to get those POIs and routes to them
Accessibility to financial institutions from a given block, from [4]
Banks, alternative institutions and the spatial–temporal ecology of racial inequality in US cities [4]
Predatory institutions are easier to get in neighborhoods with more minorities
Probability AFI access is faster by foot as a function of proportion of residents of white (left), black (center), and hispanic (right) populations, from [4]
Effect of mobile food environments on fast food visits [5]
Use mobility data (Cuebiq) to see where people consume fast-food and what is the impact of the environments there. Traditionally this has been studied only around home. However, we found most fast-food consumption happens away from home.
Median distance to different type of places in the top 11 metro areas in the US, from [5]
Effect of mobile food environments on fast food visits [5]
The impact of food environments we are exposed when we move around is huge: being in an area with 10% more fast-food increments the possibility of having fast-food by 20%
Impact (log-odds) of being exposed to fast-food environments in eating there, from [5]
Effect of mobile food environments on fast food visits [5]
Efficient policies to increase consumption of healthy food should concentrate on behavioral spaces where people consume food and not only residential neighborhoods.
Impact of different interventions on food environments in visits to fast food places, from [5]
Mobility patterns are associated with experienced income segregation in large US cities [6]
Economic segregation isn’t just limited to neighborhoods, it is part of the places we visit every day. How is people segregated when they move around?
Use Cuebiq GPS data to calculate places’ segregation and individual experienced segregation in the city
Place and individual income segregation, from [6]
Mobility patterns are associated with experienced income segregation in large US cities [6]
Places are segregated differently. Even across the street places can be very different in terms of segregation.
Places have different income segregation, from [6]
Mobility patterns are associated with experienced income segregation in large US cities [6]
Individuals are exposed to different segregation patterns as the move and visit places in the city. Most of experienced segregation is encoded in our lifestyles, not where we live.
What explains individual segregation [6]
Sustainability and Inequality in urban areas are critical, pressing problems.
The use of large-scale data and powerful descriptive, predictive, and causal methods can help understanding and alleviating those problems.
Most of research in Computational Urban Science in those problems has to do with
General
Experienced segregation
Environmental justice
Energy and pollution patterns

CUS 2025, ©SUNLab group socialurban.net/CUS